Jeep Wrangler và Gladiator dính lỗi triệu hồi tại Việt Nam
2/26/2026 8:20:00 AM
Xecongnghe.vn -
JVA TP.HCM (JVA), nhà nhập khẩu và phân phối ủy quyền chính thức thương hiệu Jeep - RAM tại Việt Nam, vừa phát đi thông báo triệu hồi hai dồng xe Jeep Wrangler 2018 - 2022 (JL) và Jeep Gladiator 2020 - 2022 (JT) do liên quan đến đèn cảnh báo trên cụm đồng hồ táp-lô.

Cụ thể, trên dòng xe Jeep Wrangler, đèn CEL/MIL (đèn cảnh báo lỗi động cơ) có thể không sáng khi hệ thống cần cảnh báo. Trong khi đó, trên dòng xe Jeep Gladiator, đèn CEL/MIL có thể bị hoán đổi vị trí với đèn báo khoang hành lý. Tình trạng này có thể khiến người sử dụng không nhận biết kịp thời các cảnh báo kỹ thuật của xe trong quá trình vận hành.

Phương án khắc phục: Đội ngũ kỹ thuật JVA sẽ tiến hành kiểm tra hoạt động của đèn CEL/MIL trên cụm đồng hồ. Nếu đèn hoạt động bình thường, xe được xác nhận không bị ảnh hưởng. Trường hợp phát hiện đèn không sáng hoặc hiển thị sai vị trí, JVA sẽ cập nhật phần mềm hệ thống để khắc phục theo hướng dẫn của nhà sản xuất.
Lưu ý: Khách hàng có xe thuộc diện triệu hồi vui lòng liên hệ JVA để được kiểm tra và xử lý trong thời gian sớm nhất.
Ông Lê Đắc Đại, Phó Tổng Giám đốc JVA, cho biết: “Chúng tôi đang phối hợp chặt chẽ với nhà sản xuất FCA US LLC nhằm nhanh chóng triển khai kiểm tra và khắc phục cho khách hàng. Việc công bố thông tin triệu hồi được thực hiện nhanh chóng, chủ động nhằm đảm bảo khách hàng nắm rõ tình trạng xe và yên tâm khi sử dụng.”
JVA khẳng định cam kết bảo dưỡng, sửa chữa và tiếp tục đảm bảo phục vụ khách hàng Jeep - RAM lâu dài trong tương lai với tiêu chuẩn chính hãng từ FCA US LLC.
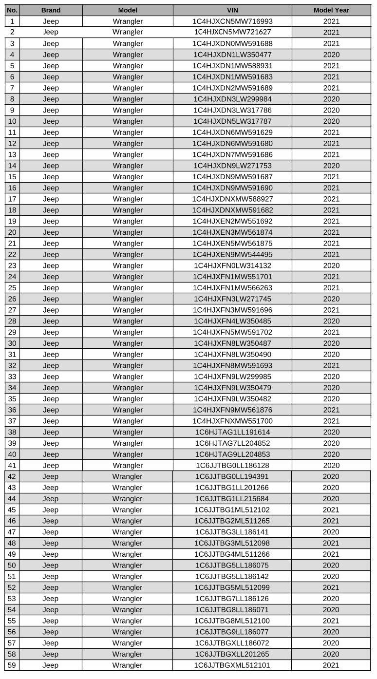
Danh sách các xe nằm trong diện triệu hồi tại Việt Nam:

Đăng Khôi(TGTD)



